Static Fields in Coaxial Line Applet
Goto: Coaxial Section Output Format Notes
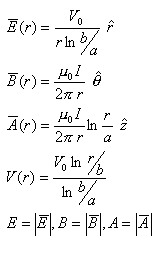
Equation Parameters Diagram
Parameter Value Units Special Values Inputs: V0 (applied voltage) Volts kilovolts Megavolts ____________________ I (applied current) amperes kA MA ____________________ a (inner rad.) meters centimeters millimeters micrometers nanometers inches feet mils yards miles kilometers lightyears ____________________ b (outer rad.) meters centimeters millimeters micrometers nanometers inches feet mils yards miles kilometers lightyears ____________________ r (point rad.) meters centimeters millimeters micrometers nanometers inches feet mils yards miles kilometers lightyears ____________________ Outputs: E (elect.field) Volts/meter kilovolts/meter megavolts/meter Volts/cm kilovolts/cm megavolts/cm Volts/mil ____________________ B (mag.field) T, Tesla Wb/m2, Webers/m2 gauss ____________________ A (mag.pot.) Wb/m, Webers/meter ____________________ V (elect.pot.) Volts kilovolts Megavolts ____________________
E (elect.field)
Select Format: Scientific Engineering Fixed
It is assumed that the materials are non-magnetic (i.e. μ = μ0).
MKS units
Copyright © 2000-2021 Raymond J. Allen